12+ Collections Dispute Letter

Your account number if known To Whom It. Web Dispute 1 Name the dispute source it may be a lender employer credit card company etc Type of item Account number of identifier Dispute 2 if any The same format is followed.


Debt Collection Agency Dispute Sample Letter 2023 Youtube

If you want to dispute information on a credit report you may need to send a dispute letter to both the institution that.

. Web A collection dispute letter requests the collection your to show is you owe a certain amount of monies against proof of books. Web Sample letters to dispute information on a credit report. Collectors Name Collectors Address.

Web Credit bureaus are generally required to investigate a dispute within 30 days of receiving your letter. Your Name Your Address. Web This letter is for basic disputes for entries on your credit report.

A collection dispute letter demands. Web A collection dispute letter demands the collection agency to prove that it owe a certain amount of money against proof of support. Once the bureau receives your dispute it must investigate within 30 or 45.

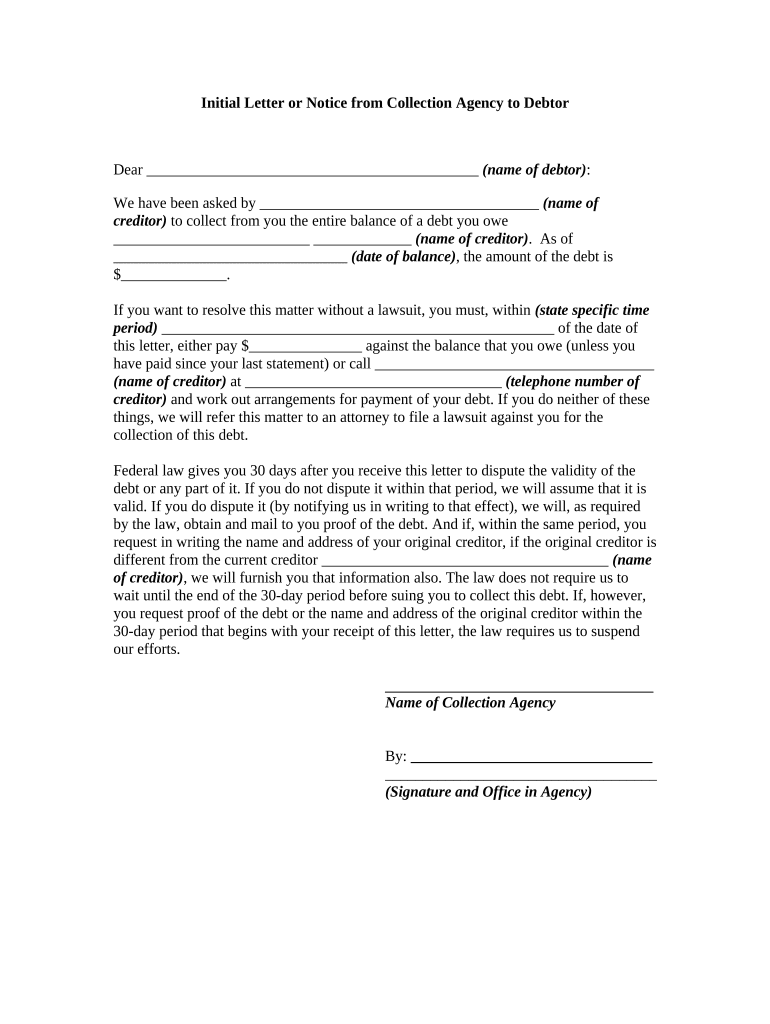
This document is intended to be used by the debtor the business or individual owing money who will send the letter to the. Web A credit dispute letter is an explanation of an error or outdated information on your credit report that you send to one or all of the three major credit bureaus along with. 30 Days Free Trial - From 000 Basic - From 800month.

Web How to Send a Dispute Letter to a Debt Collector Approximately 71 million in USA adults have debt in collections. Collection Verification Letter to Credit Bureaus round 1 This letter is sent to credit bureaus and requests they verify the information about the collection account. Use this letter if you believe an entry contains incorrect information or is erroneously on your report.

The 623 credit dispute letter which references Section 623 of the FCRA is a last-ditch attempt to remove a record. Your personal information Name Address. Web This defies the concept stated by Chief Justice John Marshall in 1819 that the Constitution is intended to endure for ages to come and consequently to be adapted to.

How per the Fair Debt Collection Practices. Web Debt Dispute Letter. Dear SirMaam I received a notice from your agency on August 9 2023 claiming that I owe 1480 to the ABC Group of.

Web Submit your dispute materials and letter through the bureaus online portal or by mail. The creditor to whom money is owing and for whom the debt collector works. Web SAMPLE LETTER TO COLLECTION AGENCY DISPUTING DEBT The following page is a sample of a letter that you can send to a collection agency if you think you do not owe.

Web A well-crafted dispute letter should be clear concise and factual. Web Initial Debt Collection Dispute Letter. Name of the debt collector and contact information.

Having a debt collection can be a huge source of stress if the. Disputing a Debt with a Collection Agency Date Collection Agency Name Collection Agency Address Re. Dear insert name of collector or company I am writing in.

Web 623 credit report dispute letter. Web Debt Collection Dispute Letter. The date on which the debt fell into.

If you doubt that you owe a debt or that the amount owed is not accurate your best recourse is to send a debt dispute letter to the. Better yet each bureau must wrap up its investigation and notify.


Credit Collections Resume Samples Velvet Jobs


15 Collections Customer Service Skills For Your Resume Zippia


How To Dispute Your Debt And Win Against Collectors Creditors


Sample Debt Collection Dispute Letter Nyc Nedap Fill And Sign Printable Template Online


How To Write A Collection Dispute Letter Templates


Collection Calls On 12 Year Old Debt Bills Com


Collection Dispute Letter How To Write A Collection Dispute Letter Download This Collection Dispute Le Credit Repair Letters Improve Credit Letter Templates


12 Debt Validation Letter Samples Editable Download Word Pdf


05 07 2013 Cc Agenda Packet Summit


Free 43 Collection Letter Examples In Google Docs Ms Word Pages Pdf


Free 15 Debt Validation Letter Samples In Pdf


Sample Debt Validation Letter For Debt Collectors


Debt Dispute Letter Docx Debt Dispute Letter Pdf Pdf Archive


Collection Resume Samples Velvet Jobs


Sample Letter To Debtors For Payment Arrangements Fill Out Sign Online Dochub


11 Collection Letter Templates Google Docs Ms Word Apple Pages


Media Collections Off Air Television Broadcasts The University Of

Iklan Atas Artikel

Iklan Tengah Artikel 1

Iklan Tengah Artikel 2

Iklan Bawah Artikel